Abnormal Thermology
RLE CRPS After a Crush Injury to the Knee
Dr. Tashof Bernton
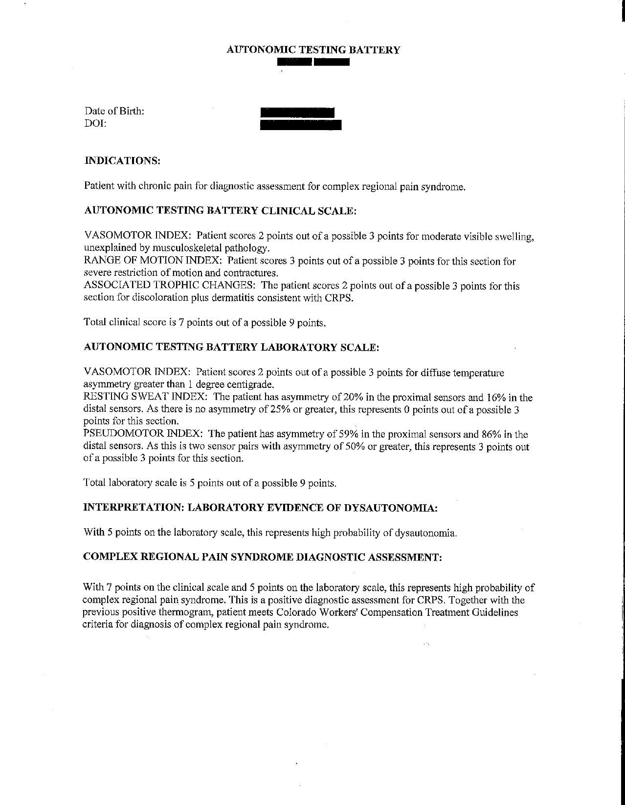
31 yo male with a chief complaint of RLE pain after a truck ran over his leg as he was lying underneath a motor vehicle. He was diagnosed with a talar dome contusion, LCL strain, and lateral meniscal tear which was eventually treated arthroscopically with a menisectomy. Postoperatively he developed severe burning pain and was referred for lower body sympathetic skin response testing. Findings included an asymmetric response in all views with the RLE being cold. Positioning was difficult due to contracture and trophic changes in the RLE. Clinical impression was chronic regional pain syndrome (CRPS) of the RLE. Findings were confirmed by QSART autonomic testing with a laboratory scale of 4 and a clinical scale of 7.


