Abnormal Thermology
RLE RDS/CRPS After Ankle Surgery
Dr. Robert Schwartz
Posted on October 20, 2018, updated on September 30, 2019
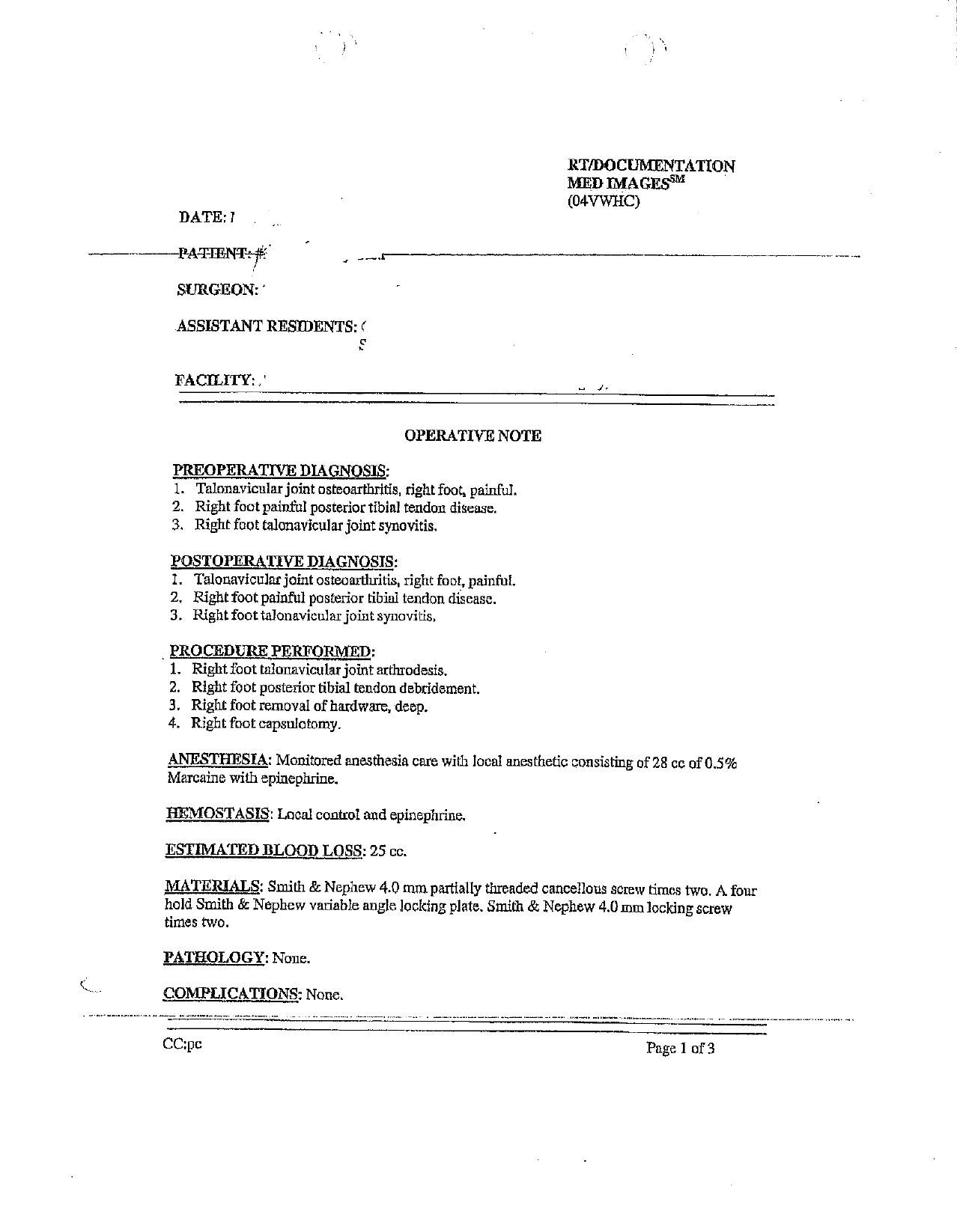
49 yo female with a history of persistent right ankle pain after a fall. She developed low back as well approximately 6 months later. Treatment has included right accessory navicular resection and talo- navicular joint arthrodesis, posterior tibial tendon debridement, and right foot capsulotomy. She was diagnosed with RSD/CRPS post- operatively. EMG confirmed underlying nerve root irritation at L5 bilaterally and S1 on right in the presence of a sensory peripheral neuropathy. Lower body sympathetic skin response study findings include a cold right foot in association with a localized hot spot over the right L5 facet and relative coolness over the right lateral thigh. Clinical impression included RLE RSD/CRPS (Triple C subset) involving the right foot in association with at sympathetic component tracking in an L5 distribution


